電容器
八月
16
作者:
2016/8/16 下午 10:20

圖片來源:士林電機 低壓油式進相電容器
利用電容器能提供超前電流即進相功率的特性,將多段(或固定)電容器並聯在負載上,供給負載所需之無效功率,用以改善(提高)功率因數,以提升至0.95為原則,可降低幹線的電流,進而影響斷路器和管徑線徑之選用(設置費用),減少線路損失和壓降,降低變壓器之容量需求。

第 273 條 容量之決定應符合下列規定:
- 電容器之容量(kVAR)以改善功率因數至95 %為原則。
第 274 條 過電流保護應符合下列規定:
- 電容器電路導線安培容量不得小於電容器額定電流 1.35 倍。
- 每一電容器組之非接地導線應裝設斷路器或安全開關配裝熔線作為過電流保護裝置,其過電流保護裝置之安培額定,不得大於電容器額定電流 1.35 倍。
電容器容量試算
在運轉有效實功率(KW)不變情況下,採用電容器來提高功率因數至pf = 0.95以上,考慮變壓器之無效功率損失和配電盤之設備容量,計算提高功率因數至pf =0.95,所需的電容器容量KVAR。
- 變壓器二次側功率因數改善所需電容器之容量Qc ( KVAR ):
Q_C=配電盤 P(KW)×需量 DF×{tan[cos^(-1)(〖pf〗_1 ) ]-tan[cos^(-1)(〖pf〗_2 ) ] }
其中pf 1為改善前功率因數,pf 2為改善後功率因數 = 0.95
- 變壓器之無效功率損失Qtr ( KVAR ):
Q_tr=激磁電流之無效電力+漏電抗消耗之無效電力=變壓器之設備容量KVA×變壓器之激磁電流I_o (%)+變壓器之設備容量KVA×變壓器之阻抗Z(%)×(負載之容量KVA÷變壓器之設備容量KVA)^2
- 變壓器一次側功率因數改善所需電容器之容量 Qt ( KVAR ):
Q_t=配電盤P(KW)×需量DF×{tan[cos^(-1)(〖pf〗_tr ) ]-tan[cos^(-1)(〖pf〗_2 ) ] }
其中pf tr為改善前功率因數,pf 2為改善後功率因數 = 0.95
若該盤為變壓器二次側銜接子盤,功率因數要檢討至變壓器一次側(考慮變壓器的無效功率損失),也就是變壓器一次側的功率因數要達到95 %。
某配電盤之系統電壓為 380 V,總負載 S = P + jQ為1870 KVA = 1559.18 KW + j 1032.4 KVAR,需量DF為1,在運轉有效實功率 (KW) 不變情況下,採用電容器來提高功率因數至pf = 0.95,試求所需的電容器容量KVAR?

圖片來源:保帆企業 調諧電抗電容器組
- 控制開關為電容專用電磁接觸器+電抗器(MC+SR),不設管(空氣中),線長為1,置於盤內。
- 因送電瞬間電流極大,形同短路,為防止火花噴出,保護設備不可使用閘刀開關KS。
- 使用電容器改善功率因數前,若有需要,須先設定該盤的需量。
抑制諧波
在工廠中安裝了大量整流器、變頻器與馬達驅動器,這些負載都會引起諧波電流,即一波形頻率為基本波形頻率的整數倍,而基本波與諧波的合成波稱為失真波(如圖1、圖2)。

而諧波會引起 … 斷路器誤動作,電纜線過熱,破壞絕緣,照明閃爍,電動機過載與擾動等。
當並聯電容器改善功率因數的同時,為了避免因電感性負載並聯電容器,可能出現LC並聯共振而而放大諧波電流,通常會在電容器上串聯一個電抗器來抑制諧波電流。

電容器安裝於含諧波之回路時,一般應加裝 6%之串聯電抗器,第五諧波較高之回路應加裝 8%之串聯電抗器,電弧爐等第三諧波大之場所應加裝 13%或 15%之串聯電抗器,安裝於非固定投入之回路時應加裝 6%之串聯電抗器。
容抗 XC
X_C=1/(2×π×f×C)
其中XC(容抗)、f(頻率)、C(電容)各個參數的單位依次為Ω、HZ、F(Farad)。
感抗 XL
X_L=2×π×f×L
其中XL(感抗)、f(頻率)、L(電感)各個參數的單位依次為Ω、HZ、H(Henry)。

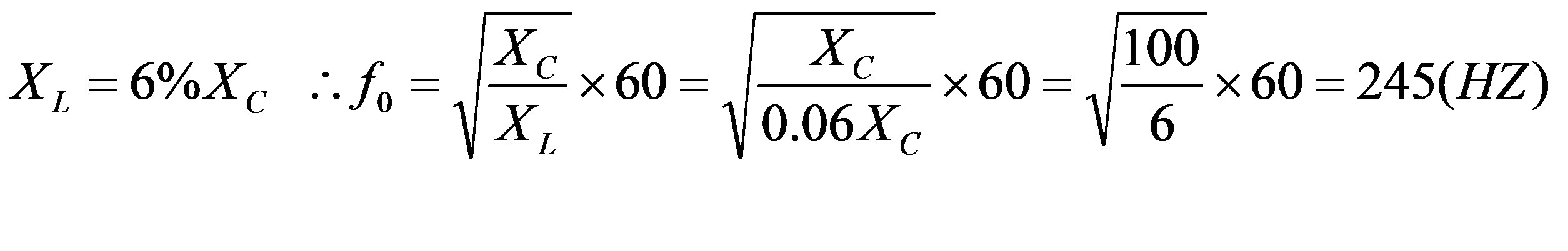
其中f0(共振頻率)參數的單位為HZ,也就是在電容器串聯一個6 %電抗器,共振頻率為 245 Hz,防第5次諧波300Hz共振。
若系統電壓為 380 V,試求容量為 5 KVAR之電容器的容抗值?
串聯電抗器之電感值選定
電容器容量Q(KVAR)換算電容C(μF)公式:
Q=2×π×f×C×〖V_C〗^2×〖10〗^(-9)
其中Q(電容器容量)、f(頻率)、C(電容)、VC(電容電壓)各個參數的單位依次為KVAR、HZ、μF、V。
故電容C(μF)
C= (Q×〖10〗^9)/(2×π×f×〖V_C〗^2 )(μF) = (Q×〖10〗^3)/(2×π×f×〖V_C〗^2 ) (F)
將電容C(F)帶回容抗公式
X_C=1/(2×π×f×C)=〖V_C〗^2/(Q×〖10〗^3 )
串聯 6%電抗器之電感值
XL = 2 * π * f * L = XC * 6 % = XC * 0.06
X_L=2×π×f×L =X_C×0.06=〖V_C〗^2/(Q×〖10〗^3 )×0.06
故電感L值
L= (〖V_C〗^2×0.06)/(2×π×f×Q×〖10〗^3 ) (H)
某配電盤採12段,每段容量為80KVAR,電壓等級為480V之電容器來改善功率因數。欲在電容器上串聯 6%電抗器抑制諧波,試求此電抗器之電感值 mH?
電容器之電壓昇
當串聯電抗器使用時,電容器之端電壓將會提昇1/(1 - L)倍,其中P為感抗與容抗比,XL / XC,若採6%電抗器,容許電壓變動率 ± 10%,則電容器之電壓昇VC為
V_c=V_r×1/(1-P)×1.1
電容器之電壓等級不得小於電容器之電壓昇VC。
欲採用電容器改善功率因數,並在電容器上串聯 6%電抗器以抑制諧波。若系統電壓為380 V,試求電容器應採之電壓等級?
電容器電壓提高後其容量變化之換算公式:
Q_1/Q_2 =〖V_1〗^2/〖V_2〗^2
其中Q1(所需電容量)、V1(系統電壓)、Q2(電壓提高後之容量)、V2(欲提高之電壓)各個參數的單位依次為KVAR、V、KVAR、V。
某配電盤系統電壓為 380 V,已知採用電容器來提高功率因數至pf = 0.95,所需的電容器容量為535.3 KVAR,欲在電容器上串聯 6%電抗器以抑制諧波,考慮電容器之電壓昇為444.68 V,故電容器之電壓等級採480 V,試求電容器所需之容量KVAR?
自動功率因數調整器
多段電容器,可利用自動功率因數調整器(APFR) 來追蹤功率因數之變化,可依照實際功率因數與目標功率因數之差別,自動增減電容器之並聯,達到目標功率因數的控制目的。
.jpg)
比流器(CT):將大電流變成小電流(5 A或1 A),提供儀表或保護電驛使用,以達到系統保護及電流量測之目的,其一次側電流為幹線總開關之AT值
比壓器(PT):將高電壓變成低電壓(120 V 或110 V),可量測電壓和功率因數,並提供儀表、配電盤的照明及保護電驛之控制電源,其一次側電壓為配電盤的線電壓。